允许MOS关断电压、二极管反向电压、匝数比N三者之间存在直接关联,图7是一个设计案例中得到的三者关联仿真图(设计交流输入最大265 V,直流输出50 V)。如图7所示:按照器件的最佳性价比,推荐器件的选择区域和变压器的匝数比为图中阴影部分是比较理想的。
图5 功率因数仿真曲线图
图6 谐波失真度仿真曲线图
图7 功率器件参数选择图
2 单级AC/DC主要参数设计
在单级AC/DC 的设计中,储能电感、变压器规格、气隙长度等参数的选择直接影响驱动电源的性能参数,本文通过理论计算和经验判断相结合,得出合适的参数。
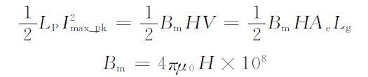
(1)储能电感值LP确定。
最低频率取50 kHz,最大导通时间取10μs.
(2)变压器参数规格。
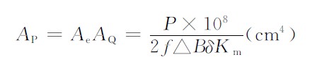
DC/DC单级反激式变压器的功率容量乘积表达式:
或表示为:
式中,P 为输入功率,单位W;f 为工作频率,单位Hz;△B 为工作磁通密度,单位GS;Km为窗口填充系数;δ为电流密度,单位A/cm2;△T 为开关管导通时间,单位s。
理论计算得出来的AP值还要增加相应余量才能作为正确的取值,此时经验判断在应用中比较重要,由于磁材厂家在这方面有非常好的经验数据,因此,选取变压器只要在设计时确定电路参数如频率、功率等,就可以方便快速地从变压器厂家的规格推荐表中选取所需的型号。
本设计:输出功率75 W,最低频率65 kHz,根据TDK规格书,选取PQ3230。
(3)气隙的确定。
根据如下储能公式确定气隙长度Lg.
式中,Ae为170 mm2,Bm取1 950 GS,则计算出Lg为0.35 mm,但在实际设计时会有10%的误差,可以实际修正。
(4)由气隙确定变压器的AL值。
由于磁芯规格和气隙已确定,可以通过给磁芯绕一定的匝数来确定AL值。
(5)初级匝数n.
根据:Lm =ALn2本设计:取55匝。
(6)根据允许的纹波电压,确定输出滤波电容:
本设计:取3 000μF/100 V.
(7)匝数比N 取值。
由上面的仿真图和经验数据,兼顾功率器件特别是系统特性指标的性价比,本设计案例Rvr可以取值2,根据反射电压公式得出N 值为2,Rvr确定后,查曲线可得PF值大约为0.95,THDI≤20% 左右,这对于小功率的直流供应器来说是很好的指标,优于目前国内外各种标准要求。
(8)功率开关器件MOS与二极管的确定当N 值、漏感确定、输出电压确定后,反射电压、漏抗引起的反峰电压就能确定,则确定MOS、二极管等耐压值就很容易算出;根据功率规格,计算出电流大小,则确定MOS、二极管电流值就很容易算出。
本例:MOS电压要求等于输入市电峰值电压+反射电压+漏感引起的反向电压,则取:11 A,800 V ,型号:SDA11NS0C3 二极管Diode取:20 A,200 V,型号:MBR20200CTG.
3 实验验证
按照以上的参数设计,本文提出的LED驱动电源通过小批量试验和批量生产,产品性能稳定、可靠性好。典型试验波形如图8、图9所示,THDI=16.9%,实测PF=0.967,由于采用BCM 模式,出现了电流纹波,但对电源综合性能影响不大。产品经国家LED质检中心检验,各项技术指标都优于相关国家标准要求。
其中,电源效率大于90%,达到能效1级;功率因数大于0.95,符合能源之星规范限值要求;谐波电流符合国家强制性标准GB17625.1-2003/IEC61000-3-2:
2001限值要求;传导骚扰和辐射骚扰符合国家强制性标准GB17743-2007限值要求。
图8 输入电流的谐波含量
图9 市电(全桥整流后)与输入电流
4 结 论
高性价比、高效率LED技术的日新月异,LED照明也得以快速发展;相应的照明工程需要兼顾系统能效、功率因素、谐波电流等多种因素,这就要求其选择合适的LED驱动电源解决方案。为此,本文提出采用临界模式(boundary mode)的AC/DC单级反激式的电源拓扑,通过理论计算和经验分析确定合理的变换参数,设计了一种高功率因数、低谐波电流的高效LED驱动电源。该驱动电源同时还具有主开关MOS管实现低电压零电流导通,整流二极管实现零电流关断并避开其负面的反向恢复特性,可以显着提高其工作效率、降低损耗和减小系统电磁干扰。通过实验验证和批量生产证明本方案设计合理、产品性能稳定、可靠性好,有效提高能效、避免建筑物内高次谐波电流造成的电源环境污染,适合批量生产,对于LED照明驱动电源、其它电源供应器厂家和电源设计者具有很好的参考价值。